成都生物所庞学勇团队在亚高山森林演替中生态策略变化研究取得新进展
来源:生态环境修复中心
作者:倪铭
时间:2026-01-07
森林生态系统的自然恢复对于维持生物多样性和生态安全至关重要。理解森林在退化后自然演替过程中植物群落的生态策略变化规律,可为指导生态恢复实践提供关键依据。经典Grime的CSR理论认为,植物群落的生态策略会随演替从干扰耐受型(R)经竞争型(C)向胁迫耐受型(S)转变。然而,该理论主要基于草本植被建立,在结构复杂的森林生态系统,尤其是考虑到不同林层(乔木、灌木、草本)的差异时,其普适性一直缺乏系统验证。
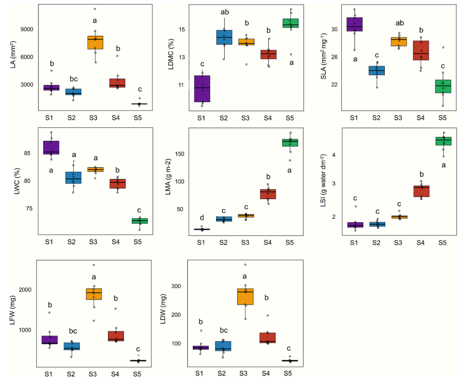
中国科学院成都生物研究所庞学勇团队罗鹏课题组以青藏高原东缘横断山区典型的次生亚高山森林为研究对象,采用“空间代替时间”的方法,系统调查了从草地到原始暗针叶林五个连续演替阶段的植物群落。研究团队测定了284个物种的功能性状,首次系统分析了不同林层植物生态策略的演变轨迹及其驱动因素。
研究发现:(1)亚高山森林群落的整体生态策略沿演替梯度确实发生了从R策略主导向S策略主导的转变,验证了CSR理论的基本框架。(2)然而,不同林层的转变轨迹并不同步,呈现出“异步变化”模式。乔木层的策略转变与整体群落一致;灌木层则呈现C和R策略增加、S策略下降的相反趋势;草本层则保持相对稳定。(3)生物因素(如植物多样性、密度、植被盖度和群落高度)与非生物因素(如土壤全氮和pH)共同驱动着生态策略的演变,其中生物因素的作用更为主导。
该研究揭示了森林演替中不同林层生态策略变化的复杂性,明确了生物和结构因素在驱动演替过程中的关键地位,揭示了调控植物密度、优化群落空间结构和积极土壤养分管理等措施在促进次生林向稳定阶段恢复的生态机理。
相关研究成果以“Asynchronous shifts in plant ecological strategies across forest layers during succession on Hengduan mountains”为题,发表于国际生态学期刊《生态指标》(Ecological Indicators)。成都生物所博士研究生倪铭为论文第一作者,罗鹏研究员和杨浩助理研究员为共同通讯作者。程悦、李红林、黄瑜等参与了该项研究。
该研究得到了国家自然科学基金和四川省科技计划等项目的支持。
原文链接:https://doi.org/10.1016/j.ecolind.2025.114579

图1.揭示亚高山森林演替过程CSR生态策略变化的概念图

图2.叶片功能性状在演替中的变化

图3.CSR生态策略在亚高山森林演替中的变化

图4.乔木、灌木、草本层CSR生态策略在亚高山森林演替中的变化